陈雪高中数学2027届2024 - 2025高一全年课程 该课程涵盖高一全年的数学知识,适合2027届学生。课程分提升班和尖端班,按寒、春、暑、秋四季设置。寒假班聚焦平面向量、解三角形、复数等知识;春季班着重概率统计、空间几何体等内容;暑假班讲解集合、函数、不等式等基础;秋季班深入三角函数、函数性质等知识。 课程由陈雪老师授课,讲解细致,通过课堂笔记和视频课程,帮助学生掌握数学概念、定理,提升解题能力和逻辑思维。无论是基础巩固还是能力提升,都能满足学生需求。...

李珍2027届2024 – 2025高一全年高中数学课程
此课程专为高一学生打造,全面覆盖必修一的核心知识。从集合与常用逻辑用语、函数的概念与性质,到指数函数与对数函数、三角函数等,课程循序渐进,帮助学生构建扎实的数学基础。
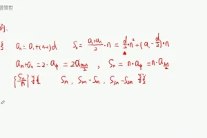
在知识讲解方面,课程深入剖析每个知识点,如三角函数的值域、正(余)弦型函数的图像和性质等,通过详细的讲解和实例分析,让学生轻松掌握。同时,课程还提供了学习方法和策略指导。无论是暑假的预习规划,还是秋季的复习策略,都能帮助学生提升学习效率,培养数学思维。
对于高一学生而言,该课程是提升数学成绩、培养数学素养的优质选择,能助力学生在高中数学学习中起步领先。
📢 以下文件由百度网盘用户于2025-03-07分享(文件数量过多时仅展示部分文件)
03.2025高一【李珍】有道【x ue -】17.31GB
知识视频11.54GB
1 必修一11.54GB
1.5 三角函数3.73GB
1.5.5 三角函数的图像与性质1.56GB
1.5.5.7(b) 三角函数的值域(下).mp4123.94MB
1.5.5.7(a) 三角函数的值域(上).mp490.57MB
1.5.5.6(b) 与ω有关的性质问题(下).mp4147.55MB
1.5.5.6(a) 与ω有关的性质问题(上).mp4135.03MB
1.5.5.5 三角函数图像求值.mp4149.38MB
1.5.5.4 三角函数的图像变换.mp4151.07MB
1.5.5.3(b) 正(余)弦型函数的图像和性质(下).mp4178.23MB
1.5.5.3(a) 正(余)弦型函数的图像和性质(上).mp4204.35MB
1.5.5.2 正切函数的图像和性质.mp4187.31MB
1.5.5.1 正(余)弦函数的图像和性质.mp4232.78MB
1.5.4 三角恒等变换1.31GB
1.5.4.5(b) 字母型角度化简求值(下).mp4209.39MB
1.5.4.5(a) 字母型角度化简求值(上).mp4207.99MB
1.5.4.4(b) 数字型角度化简求值(下).mp4192.79MB
1.5.4.4(a) 数字型角度化简求值(上).mp4233.6MB
1.5.4.3 辅助角公式.mp4183.09MB
1.5.4.2 二倍角公式.mp4195.21MB
1.5.4.1 和差角公式.mp4120.6MB
1.5.3 诱导公式332.74MB
1.5.3.1 利用诱导公式化简求值.mp4332.74MB
1.5.2 三角函数的概念316.44MB
1.5.2.2 同角三角函数关系化简求值.mp4127.13MB
1.5.2.1 三角函数的基本概念.mp4189.3MB
1.5.1 任意角和弧度制230.88MB
1.5.1.1 任意角与弧度制.mp4230.88MB
1.4 指数函数与对数函数2.6GB
1.4.5 函数的应用920.74MB
1.4.5.6 一元二次方程根的分布.mp4133.89MB
1.4.5.5 零点个数问题(进阶).mp4199.39MB
1.4.5.4 零点个数问题(基础).mp4159.93MB
1.4.5.3 判断零点所在区间.mp4120.93MB
1.4.5.2 复杂函数图像.mp4125.78MB
1.4.5.1 函数图像变换.mp4180.81MB
1.4.4 对数函数860.32MB
1.4.4.4 解指对方程与不等式之换元法.mp4163.44MB
1.4.4.3(b) 指对幂比大小(下).mp4177.61MB
1.4.4.3(a) 指对幂比大小(上).mp4171.78MB
1.4.4.2 对数函数的性质及应用.mp4159.7MB
1.4.4.1 对数函数的概念和图像.mp4187.8MB
1.4.3 对数449.73MB
1.4.3.3 换底公式.mp4164.02MB
1.4.3.2 对数运算法则.mp4141.28MB
1.4.3.1 对数概念.mp4144.44MB
1.4.2 指数函数332.78MB
1.4.2.2 指数函数的性质及应用.mp4176.77MB
1.4.2.1 指数函数的概念和图像.mp4156.01MB
1.4.1 指数95.98MB
1.4.1.1 指数运算.mp495.98MB
1.3 函数的概念与性质2.94GB
1.3.3 幂函数71.44MB
1.3.3.1 幂函数的判断及性质应用.mp471.44MB
1.3.2 函数的基本性质2.44GB
1.3.2.9 二次分式最值速算技巧.mp4111.04MB
1.3.2.8 二次分式函数的最值与值域.mp4126.48MB
1.3.2.7 一次分式函数的最值与值域.mp4106.74MB
1.3.2.6 二次函数的最值与值域.mp4147.48MB
1.3.2.5 分段函数的应用(进阶).mp4198.47MB
1.3.2.4 分段函数的应用(基础).mp4112.98MB
1.3.2.3 常见函数的单调性.mp4166.65MB
1.3.2.2 单调性的证明.mp4109.26MB
1.3.2.18(b) 二次恒成立常见解题模板(下).mp4102.84MB
1.3.2.18(a) 二次恒成立常见解题模板(上).mp486.46MB
1.3.2.17 对称性与周期性的综合应用.mp4151.19MB
1.3.2.16 函数周期性.mp4168.03MB
1.3.2.15(b) 抽象函数综合(下).mp4124.03MB
1.3.2.15(a) 抽象函数综合(上).mp4101.63MB
1.3.2.14 对称性.mp4109.12MB
1.3.2.13 单调性与奇偶性综合应用.mp4116.52MB
1.3.2.12 奇偶性的应用.mp499.38MB
1.3.2.11 函数奇偶性的判断.mp4123.29MB
1.3.2.10 根式函数的最值与值域.mp499.64MB
1.3.2.1 单调性的概念.mp4132.92MB
1.3.1 函数的概念及其表示447.42MB
1.3.1.4 构造方程组求函数解析式.mp4100.37MB
1.3.1.3 换元法、配凑法和待定系数法.mp497.23MB
1.3.1.2 函数的定义域.mp4110.07MB
1.3.1.1 函数的概念与表示方法.mp4139.75MB
1.2 一元二次函数、方程和不等式908.57MB
1.2.2 基本不等式461.66MB
1.2.2.4 代入消元解均值不等式.mp4124.19MB
1.2.2.3 齐次配凑解均值不等式.mp4104.51MB
1.2.2.2 整体换元解均值不等式.mp4113.89MB
1.2.2.1 均值不等式的概念及直接运用.mp4119.06MB
1.2.1 等式性质和不等式性质446.91MB
1.2.1.4 绝对值不等式.mp4112.17MB
1.2.1.3 根式不等式.mp488.39MB
1.2.1.2 分式不等式.mp486.32MB
1.2.1.1 一元二次不等式与高次不等式.mp4160.03MB
1.1 集合与常用逻辑用语1.38GB
1.1.6 全称量词与存在量词127.95MB
1.1.6.1 全称量词与存在量词.mp4127.95MB
1.1.5 充分条件与必要条件137.19MB
1.1.5.1 充分条件与必要条件.mp4137.19MB
1.1.4 集合创新题263.97MB
1.1.4.1 集合创新题.mp4263.97MB
1.1.3 集合的基本运算256.75MB
1.1.3.2 韦恩图解决抽象集合问题.mp4123.16MB
1.1.3.1 集合的基本运算.mp4133.59MB
1.1.2 集合间的基本关系423.32MB
1.1.2.3 多子集个数问题.mp4123.58MB
1.1.2.2 子集个数问题.mp4125.39MB
1.1.2.1 集合子集问题.mp4174.35MB
1.1.1 集合的概念199.75MB
1.1.1.1 集合的概念与元素特征.mp4199.75MB
规划服务5.77GB
暑假班【x ue -b 】1.96GB
09.【规划篇】高中第一学期数学重难点前瞻.mp4235.48MB
08.【方法篇】预习,究竟怎么做才有效果?.mp4203.51MB
07.【方法篇】高强度学习,如何集中注意力?.mp4207.05MB
06.【心态篇】做一个有毅力的人,数学学习要长期坚持.mp4264.64MB
05.【方法篇】高中数学如此“抽象”,到底应该怎么学?.mp4210.71MB
04.【方法篇】这样记笔记才科学,早点掌握早受益.mp4211.08MB
03.【方法篇】做好初高衔接,迎接高中数学学习.mp4257.36MB
02.【规划篇】高中数学第一课.mp4187.87MB
01.【高一】2024年7-12月Math.学习指南.mp4233.08MB
秋季班【x ue -】3.81GB
16.【策略篇】如何用好视频出版物,提升复习效率?.mp4231.35MB
15.【策略篇】如何进行一学期的知识梳理,备战期末?.mp4226.78MB
14.【方法篇】如何锻炼举一反三的思维能力?.mp4219.71MB
13.【方法篇】如何培养数学思维?.mp4213.93MB
12.【方法篇】解密数形结合,提升学习效率.mp4223.19MB
11.【策略篇】如何通过错题整理再找回来20分.mp4318.5MB
10.【方法篇】考后如何进行试卷分析,全面复盘以帮助自己查漏补缺.mp4252.35MB
09.【心态篇】高一成绩不及格是成绩下滑吗?.mp4385.51MB
08.【心态篇】每到考试就紧张,考场上要如何应对这种紧张情绪?.mp4256.59MB
07.【策略篇】如何搭建函数模块的知识体系.mp4257.43MB
06.【方法篇】如何制定学习计划,为什么我的计划总是完不成?.mp4213.89MB
05.【方法篇】领先7天还是落后7天:如何规划国庆假期学习弯道超车【x ue -】.mp4252.68MB
04.【策略篇】如何准备高中第一次月考?.mp4219.65MB
03.【方法篇】一个可怕的问题:笔记整理后,你真的会用吗?.mp4214.06MB
02.【策略篇】刷题的正确打开方式.mp4194.68MB
01.【方法篇】你不知道的高一重要作用:利用好高一,实现起步领先.mp4222.21MB
共105个文件,合计:17.31GB

